当前位置:首页 > 政务公开 > 图片新闻

国道家族全员集合,我国公路的这些命名规则你都知道吗?

发布时间: 2019-08-01 15:41

20183月,交通运输部决定开展国家公路网命名编号调整工作,这项工作在20196月底前全面完成,一起看看所有调整后的普通国道和国家高速公路命名及编号。

普通公路命名规则

普通公路路线的命名,应按照首都或省会放射线、北南纵线和东西横线的起讫点方向顺序排名,采用起讫点所在地的主要行政区划名称:(1)放射线以首都或省会城市为起点,放射线止点为终点;(2)北南纵线以路线北端为起点,南端为终点;(3)东西横线以路线东端为起点,西端为终点。

高速公路如何命名

高速公路路线的命名应按照首都或省会放射线、北南纵线和东西横线的起讫点方向顺序排名,采用起讫点所在地的主要行政区划名称。如G30连霍高速起于江苏连云港,终点是新疆的霍尔果斯,全称是“连云港—霍尔果斯高速公路”。

高速地区环线的命名

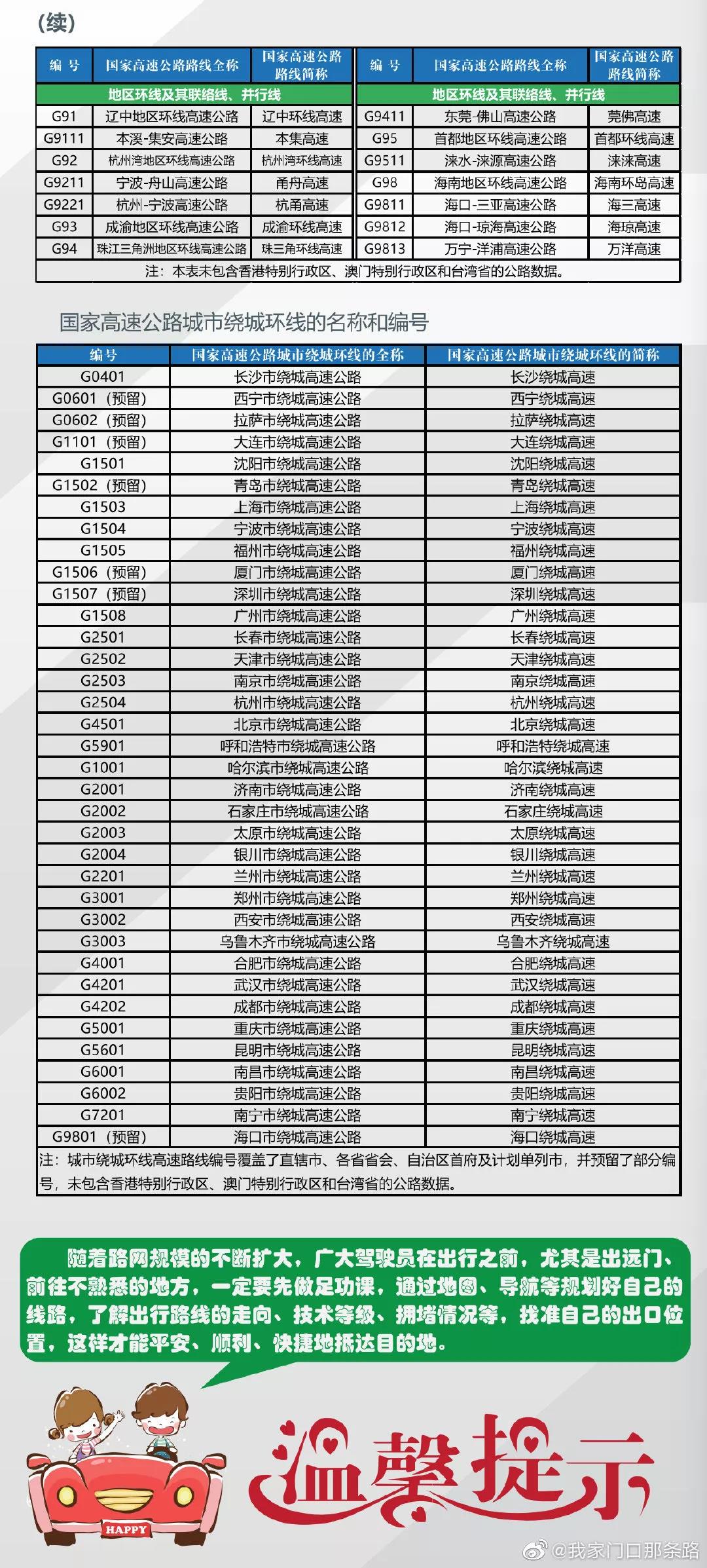
高速公路为地区环线时,以路线所在的地区名称命名,全称为“××地区环线高速公路,简称为“××环线高速,像杭州湾地区环线高速公路简称杭州湾环线高速。不过海南地区环线高速公路的简称按地方习惯是海南环岛高速,属于特例。

高速绕城环线的命名

高速公路为城市绕城环线时,以路线所在的城市名称命名,全称为“××市绕城高速公路,简称为“××绕城高速

相同起讫点多条高速公路如何命名

相同起讫点间存在两条及以上高速公路时,后通车高速公路称为“××—××第二高速公路,简称为“××第二高速;也可根据路线的方位或者地理特征命名,如机场北线高速”“广深沿江高速等;也可增加一中间途经点,如“××—××—××高速公路

(福建公路)